Niveau Lycée Terminale Spé Maths-Maths Complémentaires-Maths Expertes
Le programme officiel 2020
Sujets Baccalauréat corrigés
Spé Maths - Combinatoire et dénombrement
Spé Maths - Manipulation des vecteurs, des droites et des plans de l’espace
Spé Maths - Orthogonalité et distances dans l’espace
Spé Maths - Représentations paramétriques et équations cartésiennes
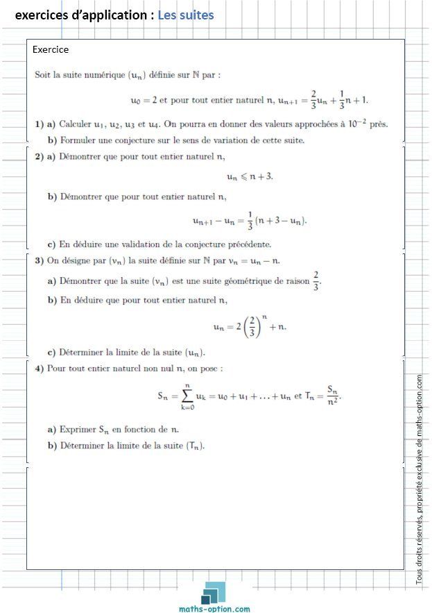
Spé Maths - Suites
Spé Maths - Limites des fonctions
Spé Maths - Compléments sur la dérivation
Spé Maths - Continuité des fonctions d’une variable réelle
Spé Maths - Fonction logarithme
Spé Maths - Fonctions sinus et cosinus
Spé Maths - Primitives, équations différentielles
Spé Maths - Calcul intégral
Spé Maths - Probabilités, succession d’épreuves indépendantes, schéma de Bernoulli
Spé Maths - Probabilités, sommes de variables aléatoires
Spé Maths - Probabilités, concentration, loi des grands nombres
Maths Expertes - Nombres complexes : point de vue algébrique
Maths Expertes - Nombres complexes : point de vue géométrique
Maths Expertes - Nombres complexes et trigonométrie
Maths Expertes - Utilisation des nombres complexes en géométrie
Maths Expertes - Équations polynomiales
Maths Expertes - Arithmétique
Maths Expertes - Matrices
Maths Expertes - Graphes et matrices
Spé Maths - Algorithmique et programmation
Le cours
Exercices d'application
Exercices d'approfondissement
Sur le web























































