Niveau Collège
Le programme officiel
Le programme Cycle 4 - Mathématiques
Les liens en bas de page vous proposent les annales du DNB, pour vous entraîner à l'examen de maths du Brevet. Bon courage !
Les cours et vidéos ci-dessous proviennent d'excellents sites web dont les références sont données dans la rubrique
"Bibliographie"
Tous les exercices d'application sont donnés avec les corrigés.
Arithmétique
Exercices d'approfondissement
Sur le web
Niveau collège Cours #01 - Les Nombres Premiers :
Niveau collège Cours #02 - Décompo. d'un entier en produit de facteurs premiers :
Niveau collège Cours #03 - PGCD et PPCM :
Les pourcentages
Le cours
Proportionnalité et pourcentages
Exercices d'approfondissement
Sur le web
Niveau collège Cours #06 - Les Pourcentages :
Les nombres relatifs
Le cours
Nombres relatifs
Exercices d'application
Voir exercices d'application "Nombres et calculs"
Repérages et nombres relatifs
Exercices d'approfondissement
Sur le web
Niveau collège Cours #04 - Les Nombres Entiers Relatifs
Les fractions
Le cours
Fractions
Exercices d'application
Voir exercices d'application "Nombres et calculs"
Exercices d'approfondissement
Sur le web
Niveau collège Cours #07 - Les Nombres Rationnels
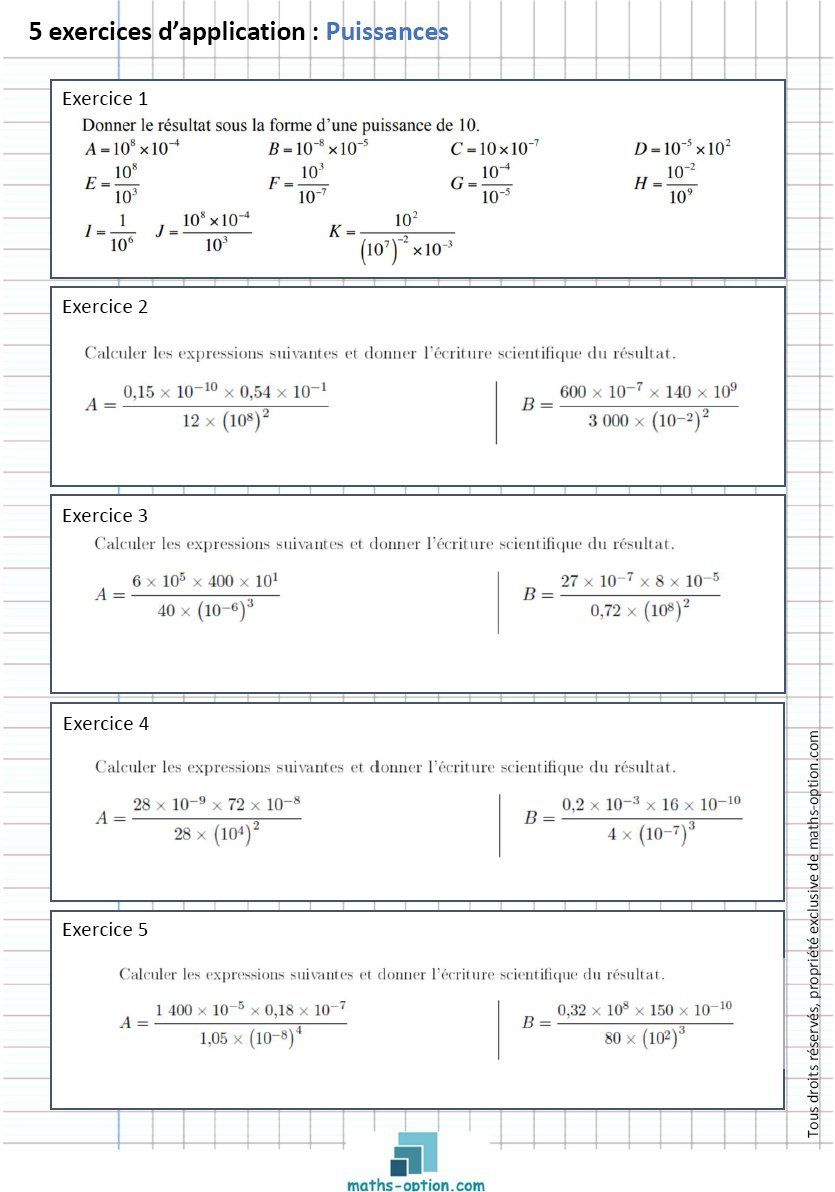
Les puissances
Le cours
Les puissances
Exercices d'approfondissement
Sur le web
Niveau collège Cours #05 - Les Nombres Décimaux
Le calcul littéral
Exercices d'approfondissement
Sur le web
Equations du premier degré
Inéquations du premier degré
Les fonctions (généralités)
Les fonctions linéaires
Les fonctions affines
Les quadrilatères
Le théorème de Pythagore
Le cours
Le théorème de Pythagore
Exercices d'approfondissement
Sur le web
Démonstration du théorème de Pythagore (méthode de James Garfield)
Le théorème de Thalès
Le cours
Le théorème de Thalès
Exercices d'approfondissement
Sur le web
Démonstration par la méthode des aires (Niveau Collège)
Démonstration par la méthode des vecteurs colinéaires (Niveau Lycée)
La trigonométrie
Les transformations planes
Exercices d'approfondissement
Sur le web
La géométrie dans l'espace
Exercices d'approfondissement
Sur le web
Les probabilités et les statistiques
Exercices d'approfondissement
Sur le web
L'informatique : Scratch et Géogébra
10 ans d'épreuves de Brevet !
Enoncé 2019 Métropole
Enoncé 2018 Métropole
Enoncé 2017 Métropole
Enoncé 2016 Métropole
Enoncé 2015 Métropole
Enoncé 2014 Métropole
Enoncé 2013 Métropole
Enoncé 2012 Métropole
Enoncé 2011 Métropole
Enoncé 2010 Métropole
Enoncé 2009 Métropole






































